🪴qql1's digital garden
Search
搜索
暗色模式
亮色模式
阅读模式
探索
Home
❯
笔记
❯
数学
❯
高等数学
❯
高数
❯
高数下册
❯
混合积
混合积
2026年1月26日
1分钟阅读
混合-hybrid
文件-文档-txt文件-笔记
3.1. 定义:
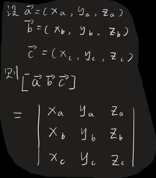
3.2. 混合积的坐标表示:
3.3. 性质:
关系图谱
目录
3.1. 定义:
3.2. 混合积的坐标表示:
3.3. 性质: