🪴qql1's digital garden
Search
搜索
暗色模式
亮色模式
阅读模式
探索
Home
❯
笔记
❯
数学
❯
高等数学
❯
高数
❯
高数上册
❯
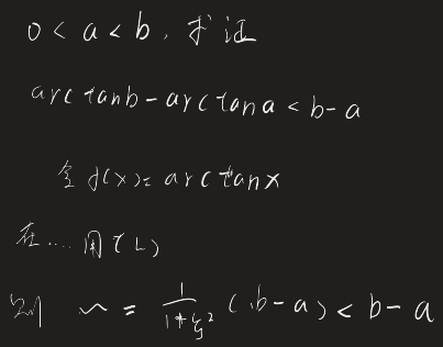
高数上三1 微分中值定理
高数上三1 微分中值定理
2021年11月01日
0分钟阅读
关系图谱