基本一阶求导公式

求某一点是否可导时直接算,若不存在就是不可导 书本p92几个易错公式: image4

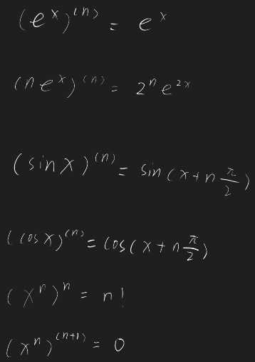
高阶求导公式

image

隐函数求导

image

幂指函数求导

image