🪴qql1's digital garden
Search
搜索
暗色模式
亮色模式
阅读模式
探索
Home
❯
笔记
❯
数学
❯
高等数学
❯
高数
❯
错题
❯
不等式证明错题
不等式证明错题
2021年12月27日
1分钟阅读
文件-文档-txt文件-笔记
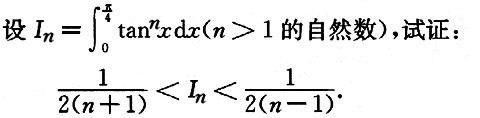
- )先用正向推导法,探索已知条件 的利用三角函数与I的关系醯 证不等式的基本方法之一、 ->
father::
错题
father::
错题
关系图谱