🪴qql1's digital garden

Home

❯

笔记

❯

数学

❯

高等数学

❯

高数

❯

已牢记错题

❯

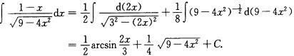
求积分

求积分

2022年1月04日1分钟阅读

  • 文件-文档-txt文件-笔记
  • father::元笔记汇总

image

image

image

二

image


关系图谱

反向链接

  • 元笔记汇总

Created with Quartz v4.5.2 © 2026

  • GitHub
  • Discord Community