🪴qql1's digital garden
Search
搜索
暗色模式
亮色模式
阅读模式
探索
Home
❯
笔记
❯
数学
❯
高等数学
❯
高数
❯
小结论 小技巧
❯
行列式计算
行列式计算
2022年2月28日
1分钟阅读
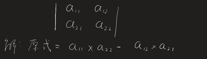
已知二阶行列式
已知三阶行列式
关系图谱
反向链接
高数小结论