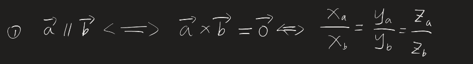
两向量平行

image

1. 做题经验:

child::已知向量平行求未知数

两向量垂直

image 点积为零

三向量共面

image

混合积为零

向量夹角

向量夹角余弦值

image

点线距离

点到直线的距离

需要

  1. 直线上任意一点M_0
  2. 直线的方向向量S
  3. 直线外一点M

image