三角恒等换
2021年11月18日
10:19
![]()
Sin,cos与tan的互相转换
![]()
奇变偶不变,符号看象限
诱导公式直观描述

- 如果是奇数
- 三角函数符号改变
- 如果是偶数
- 三角函数符号就不改变
- 如果是奇数

- 把相加得到的角放在象限中
- 根据原三角函数在这个象限中的正负来决定最终结果的符号,即正负
- 如果原三角函数在这个象限中为正数
- 则结果符号不变
- 如果原三角函数在这个象限中为负数
- 则结果符号取反
- 如果原三角函数在这个象限中为正数
按照目的把cos和sin相互转换
例子:
![]()
思路:
![]()
解:
![]()
或
![]()
然后根据需要选择分成那个
一般分出来的角绝对值小一点比较好
所以这里选第二个
即
![]()
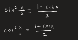
降幂公式
半角公式
![]()